| Российский химико-аналитический
      портал | химический анализ и аналитическая химия в фокусе внимания ::: портал химиков-аналитиков ::: выбор профессионалов | 
|  |  | 
| ANCHEM.RU » Литература » Справочные, учебные материалы / книги » ... | 
| Тезисы VII конференции "Аналитика Сибири и Дальнего Востока - 2004" 
        » Стендовые доклады » Стендовая секция III. Электрохимические методы » ... Математическое моделирование процессов роста зародышей осадка в случае предшествующей химической реакции в методе инверсионной вольтамперометрииГунцов А.В., Гунцова Л.В. Тюменский государственный
        нефтегазовый университет, институт
        нефти и газа Россия, 625039, г. Тюмень,
        ул. 50 лет Октября 38, E-mail: avgun Метод инверсионной вольтамперометрии широко используется для анализа и контроля загрязнённости окружающей среды. С другой стороны, с помощью этого метода можно изучать различные физико-химические процессы на твердом электроде. Рассмотрим процесс
        электронакопления зародышей осадка на
        твердых электродах в случае
        предшествующей химической реакции.
        Допустим, что электрод представляет
        собой плоскую поверхность. На
        электроде равномерно, на одинаковом
        расстоянии друг от друга расположено N
        зародышей осадка полусферической
        формы радиуса R. Зародыши растут, не
        взаимодействуя друг с другом. Это
        позволяет свести задачу о росте N
        зародышей к задаче о росте одного
        зародыша. Решение этой задачи получено
        с использованием квазистационарного
        метода решения диффузионных задач с
        подвижной фазовой границей. Выражения
        для радиуса зародыша и количества
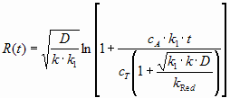
        вещества на электроде имеют вид: где СТ=1/Vm, Vm –
        мольный объем вещества осадка, k –
        константа равновесия предшествующей
        химической реакции A  | 
«                                                     
 Назад |  Содержание |
Далее »
 
 
| ЖУРНАЛ | ЛАБОРАТОРИИ | ЛИТЕРАТУРА | ОБОРУДОВАНИЕ | РАБОТА | КАЛЕНДАРЬ | ФОРУМ | 
| Copyright © 2002-2022 «Аналитика-Мир профессионалов» | Размещение рекламы / Контакты |